|
日本語版サンフォード感染症治療ガイド-アップデート版
|
|
バンコマイシン,AUC-用量設定の原理と計算 (2022/7/26 更新) |
はじめに

| CrCL(mL/分) |
VCM半減期(時間) |
| ≧100 |
6~8 |
| 60~99 |
8~12.8 |
| 40~59 |
13.1~18.2 |
| 15~39 |
18.7~40.8 |
| 0~14 |
43.4~140+ |
小児での使用
計算に必要なデータ
データ代入の例
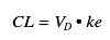
方程式:AUC24の計算






用量調整
方程式:ピーク値とトラフ値の予測



